摘要:针对铜铟镓( Cu-In-Ga ,CIG)合金熔炼时易偏析的问题,在雾化介质(氩气)压强为 6.5MPa /温度为 20°C 、熔炼温度为 1 200cC 的条件下,试验以高纯金属单质 Cu 、In和Ga为原料,采用真空感应熔炼气雾化法(Vacuum Induction-melting Gas Atomization,VIGA)制备高纯CIG合金粉。结果表明,CIG合金粉杂质含量不超过 0.01% ,球形度较好,元素分布均匀,无明显偏析现象。CIG合金粉由两部分组成,一部分是 Cu-Ga 合金,另一部分是 。含量较少的 Cu-Ga 合金呈片状均匀地分布在 的表面,Cu、In和Ga的配比(原子比)与 CuIn0.7Ga0.3Se2 中的配比偏差不超过 0.03 。它们可以作为制备铜铟镓硒( Cu(InxGa1-x)Se2 ,CIGS)薄膜太阳能电池的原材料。
摘要:在对含砷复杂金精矿进行氰化物提金的过程中,提前加入保护碱进行预浸出,可以有效提高金的浸出率。针对某含砷复杂金精矿的焙砂开展氰化浸出工艺研究,在优化浸出条件下,开展保护碱的选择研究。试验结果表明,与氧化钙相比,使用碳酸铵作为保护碱进行预处理,可显著缩短焙砂的氰化浸出时间。
摘要:建立一种基于电感耦合等离子体发射光谱法(Inductively Coupled Plasma-Optical Emission Spec-troscopy,ICP-OES)的土壤样品中铬含量检测方法,评估某地区土壤铬污染状况,为环境监测和污染防控提供科学依据。土样进行干燥、粉碎和筛分后,采用微波消解和ICP-OES检测铬含量,通过绘制标准曲线、加标回收试验和重复性试验验证方法的准确性、精密度和可靠性。结果显示,标准曲线的线性回归方程为 I=1256.3C+12.4 ,相关系数 R2=0.9998 ,线性范围为 0.1~10.0mg/L 。土壤样品铬含量为38.7~56.1mg/kg ,平均值为 47.4mg/kg ,未超过国家土壤环境质量标准限值 250mg/kg 。加标回收率为95.6%~ 102.3% ,相对标准偏差(Relative StandardDeviation,RSD)为 1.2%~2.5% ,表明方法准确可靠。建立的ICP-OES方法适用于土壤中铬含量的快速、准确检测。该地区土壤铬含量总体处于安全范围内,但部分区域接近警戒值,需要进一步监测,以防范潜在环境风险。
摘要:通过优化吹扫捕集条件,采用吹扫捕集-气相色谱质谱法,建立一种用于地表水和工业废水中丙烯醛和丙烯腈的分析方法。试验结果表明,丙烯醛和丙烯晴的线性关系良好。丙烯醛和丙烯腈的检出限分别为 1.5μg/L, 0.4μg/L ,相对标准偏差分别为 0.67%~1.95% , 0.75%~1.96% ,空白样品加标回收率分别为 95.8%~ 103.0% 、 98.2%~ 102.0% ,地表水样品加标回收率为分别为 102%~104% 、 104%~108% ,工业废水样品加标回收率分别为 98.4%~ 104.0% ! 103%~109% 。该方法具有耗时短、分离效果好、检出限低、重复性好等优点。
摘要:为提高土壤中Cu、Mn、Zn、Pb四种重金属测定数据的准确性和可靠性,采用动态微波消解方法处理土壤样品,结合电耦合等离子体原子发射光谱(Inductively Coupled Plasma-Atomic EmissionSpectrometry,ICP-AES)法测定重金属元素,并与国标法进行对比。研究表明,该方法在复杂土壤样品中表现出较高的准确度,能够满足土壤重金属元素分析需求。
摘要:探讨橡胶混凝土在道路工程中的应用,特别是其抗裂性能。相比传统混凝土,橡胶混凝土弹性模量和收缩率低,可以提高路面刚度,减少裂缝。它还具有良好的抗干缩、温缩性能和高弹性,有助于改善道路的使用性能和品质。
摘要:采用Tessier连续提取法分析模拟高放废液在高温煅烧过程中金属元素的化学形态变化,探究不同煅烧温度下的元素赋存状态。研究表明,煅烧过程使元素从非晶态转变为晶态,形成难溶的晶体状态;Sr、Zr、Nd和Gd的化学形态变化显著, 500°C 后几乎无可交换态,其中Sr有少量可交换态; Zr 、Nd和Gd主要为残渣态,碳酸盐和铁锰氧化物结合态次之; 700‰ 时元素形态提取率最高, 800°C 时降低,Nd提取率最低;煅烧温度显著影响金属元素化学形态分布。
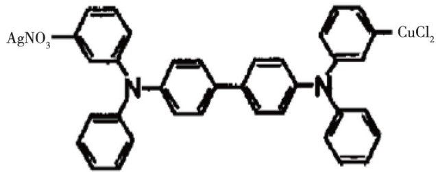
摘要:采用绿色合成工艺,以水溶性前驱体为原料,通过超声辅助水相合成法制备纳米导电材料。创新性地引入微反应技术和生物基原料,建立闭环循环的清洁生产工艺,开发一种低污染、高性能的电子专用导电材料。通过多维表征手段系统分析材料的微观结构与性能,研究工艺参数对产品性能的影响规律。结果表明,开发的材料具有优异的导电性和热稳定性,体积电阻率为 2.3×10-4Ω?cm ,热导率为 15.6W/(m?K) 。在柔性电子、高频通信和发光二极管(Light-Emiting Diode,LED)封装等领域的应用验证显示,该材料具有良好的机械可靠性和电磁屏蔽性能,在实际应用中技术优势明显。研究成果可为电子专用导电材料的绿色制造提供新思路,对推动相关产业的可持续发展具有重要意义。
摘要:乡镇生活垃圾分类收集与资源化处理系统的构建需要针对垃圾产生特征、分类模式、运输方式及资源化技术进行系统优化,并结合智能化管理手段,增强垃圾分类的准确性,减少运输过程的资源消耗,提高废弃物的回收利用水平。基于物联网、大数据和人工智能等技术手段,实现垃圾分类投放的精准管控及清运路径的优化调整。资源化处理系统采用厌氧消化、堆肥及楚烧等工艺,提高有机垃圾能源化利用率。
摘要:随着矿业开发的不断深入,矿山地质灾害问题日益凸显,给人民生命财产安全和生态环境带来了严重威胁。水工环地质勘查技术在矿山地质灾害的预防、监测与治理中发挥着至关重要的作用。因此,分析矿山地质灾害分布规律,探讨水工环地质勘查技术在矿山地质灾害防治中的应用,以期为矿山安全和可持续发展提供科学依据和实践指导。
摘要:矿山工程地质勘查方法和采矿技术是矿产资源开发的重要工具。地质勘查通过对矿区的地质条件、矿体分布及储量等进行系统调查与分析,为采矿提供科学翔实的依据。常用的勘查方法包括地质调查、物化探技术、钻探及采样分析等,能够准确揭示矿区的矿产资源情况和地质结构特征。准确掌握采矿技术要点则能降低采矿成本,保证作业安全。通过分析矿山工程地质勘查的常用方法和采矿技术要点,探讨如何优化勘查与采矿工作流程,提升矿产资源的开发利用效率,并为未来矿山工程的可持续发展打下基础。
摘要:土壤与地下水交互作用是区域水文循环的关键环节,影响着水资源的时空分布与利用效率。探讨土壤水与地下水运动的规律,分析交互作用对降水入渗、地表径流、地下径流及蒸发蒸散的影响机制。试验结果表明,土壤类型、地下水位深度及降雨强度等因素显著影响水文过程。
摘要:在城市化快速发展的背景下,生活垃圾处理已成为城市管理的重要一环。生活垃圾渗滤液的处理不仅关乎环境保护,更直接影响城市运营成本的控制与经济效益的提升。在工商管理视角下,以生活垃圾渗滤液处理为研究对象,基于S项目的运营数据,深入探讨生活垃圾渗滤液处理项目的运营成本构成与控制策略。相关研究结论为生活垃圾渗滤液运营成本控制提供了理论框架与实践参考,对推动垃圾处理行业绿色低碳转型具有现实意义。
摘要:化工园区周边土壤往往存在重金属污染问题,导致土壤质量下降、生态系统受损。重金属不仅难以自然降解,还会在土壤中累积,进而对地下水造成潜在威胁。便携式金属检测仪是一种迅速、精确检测土壤中重金属含量的仪器,可为化工园区周围土壤重金属污染治理提供有力的技术支持。
摘要:随着工业化和城市化的快速发展,固定污染源排放的废气对环境的影响日益严重。为了有效控制和减少废气污染,废气监测技术成为评估污染源排放状况、制定环保政策和监管措施的重要依据。探讨废气监测技术在固定污染源中的具体应用,并分析实施过程的质量控制措施,以期为环境保护和污染治理提供科学依据。
摘要:随着中国风力发电技术的日益精进,风力发电机组的发电能力不断提升。从全生命周期的视角深入剖析风力发电的成本结构,以促进成本降低与效率提升。通过计算度电成本,评估风电场的经济效益,同时考虑风机间的尾流效应、风电场的发电潜力以及项目的全生命周期成本,创新性地提出一种基于遗传算法的风电场机组成本预测模型,为风电项目的经济性分析提供新工具。
摘要:在介绍土地资源管理效率的基础上,阐述土地调查监测成果的主要内容,提出整合调查监测数据资源、分析土地利用变化趋势、根据应用监测成果进行优化决策等提升路径。以安徽省宿松县为例,探讨“双预警”管理机制实施情况,分析了“问题发现-权衡分析-方案制定”的闭环管理模式。研究表明,科学应用土地调查监测成果能有效优化土地资源配置,提升管理的科学性和精准性。
摘要:随着新型城镇化进程的加快,土地资源管理在统筹城乡发展、保障生态安全、促进经济可持续增长中的作用日益凸显。系统分析优化土地资源管理的现实意义,针对土地资源管理面临的挑战,提出科学规划国土空间、严格落实耕地保护制度、盘活存量土地资源等策略,为破解土地资源管理困境提供理论参考。
摘要:新形势下,县级国土变更调查和耕地保护工作对于保障国家粮食安全、合理规划土地资源和促进经济社会可持续发展具有重要的意义。以黔西市为例,探讨县级国土变更调查的主要任务和工作流程,阐述国土变更调查与耕地保护之间的联系,分析县级国土变更调查工作面临的挑战和当前耕地保护工作存在的困难,并提出推进相关工作的建议,以推动县级土地资源管理工作的科学、高效开展。
摘要:随着我国城市化进程的加快,低碳生态城市成为可持续发展的核心目标。利用美国劳伦斯伯克利国家实验室开发的ELITECities模型,对广西壮族自治区贺州市的低碳生态发展水平进行评估。基于ELITECities模型的33项关键指标(共分为八大类),分析贺州市在能源与气候、水资源、空气质量、移动性、土地使用、废弃物管理、经济及社会健康方面的表现,并与国内最佳实践进行比较。研究结果表明,贺州市整体表现良好,但在土地利用、医疗管理等方面仍有改进空间。
摘要:地质环境监测技术是解决矿山开采引发的生态破坏问题的关键手段。基于地质环境监测,探讨遥感影像技术、智能传感系统及地质大数据技术在生态修复中的应用机制,系统分析地质环境监测技术在生态破坏区域的评估、修复过程的动态管理和修复效果中的应用与实践。结果表明,地质环境监测技术可以提升修复过程的决策效率与科学性,创新技术的应用进一步推动了监测系统的智能化和时效性,为矿山生态修复实践提供了可靠技术支撑和发展方向。
摘要:以湖南省绥宁县金屋塘镇冷水溪为研究区,综合多种地球物理探测方法联合勘查研究区天然矿泉水资源。利用放射性氢测量圈定断层和花岗岩外接触板岩大致区域,随后开展直流电阻率联合剖面测量辨别含水层和破碎带产状,最后利用可控源音频大地电磁法测量圈定地下深部含水层。经钻孔验证,地下水活动迹象明显。
摘要:分析生态环境保护与资源利用协同发展的重要性,探讨当前面临的主要挑战,并提出针对性的解决策略,旨在构建生态环境与资源利用的良性互动模式,为实现人与自然和谐共生提供理论支撑与实践路径。分析认为,协同发展不仅能够保障生态系统稳定性和资源供给安全,还能推动经济绿色转型与社会可持续发展。
摘要:城市水资源综合利用过程中,做好水质保障至关重要。以济南市为研究区,结合区域水资源综合利用现状,深入分析常用的水质净化技术,提出水质监控与管理策略,保障水资源可持续利用,为其他城市水资源的保障和综合利用提供有益借鉴。随着水质保障技术的应用,济南市水体质量得到改善,水资源利用效率明显提升,但依然存在部分亟待解决的问题。研究结果不仅有助于提升水质保障技术的应用效果,而且能够为城市水资源管理提供科学依据。
摘要:随着我国国土空间规划的不断深入,低效土地再利用已成为优化土地利用和提高城市发展品质的重要一环。以泾川县为研究区,深入剖析低效土地再开发的规划导向和实施路径。通过分析泾川县土地利用现状,阐述土地利用再开发的意义,并详述其规划层次的总体要求、开发规模与布局、耕地保护与公益性用地的匹配等,提出优化土地供应策略的路径,包括优先发展区确定、土地征用管理、优化土地供应策略和监督评价机制。从经济、社会、生态等角度对项目实施效果进行评估,以期为其他区域的可持续发展提供借鉴。
摘要:全域土地综合整治作为解决城乡土地利用不均、资源浪费以及生态环境压力的重要手段,已逐渐成为各级政府关注的重点。基于城乡融合视角,分析当前整治实践的主要挑战,提出适应城乡融合发展的整治优化路径。借助案例分析,提出政策支持、风险管控等方面的优化建议,为实现城乡融合背景下土地综合整治的可持续发展提供理论指导与实践参考。
摘要:为了实现矿产资源高效利用与环境保护的协同发展,深入分析充填采矿法在矿产资源开采中的应用,并提出具体的应用策略。分析认为,充填采矿法在减少地表沉陷变形、降低废弃物排放等方面成效显著,但仍有提升空间。
摘要:随着地热能在鲁西北地区的广泛开发与利用,砂岩热储地热尾水的回灌作为地热资源循环利用的关键环节,不仅关乎地热能的长期稳定供给,还直接影响地质环境的保护与生态平衡。简要阐述鲁西北地区地热资源开发利用现状及主要热储特征,分析砂岩热储地热尾水回灌的长期监测数据,为鲁西北地区砂岩热储地热尾水回灌优化研究提供科学依据和实践指导。
摘要:“富矿精开”是一种新型的矿产资源开发模式,即在资源丰富的矿区,通过科学规划、技术创新和精细化管理,实现矿产资源的高效、可持续开发。在充分调研的基础上,研究黔东南苗族侗族自治州(简称黔东南州)推进“富矿精开”的具体实践及成效,总结面临的主要问题,提出相应对策。总体来说,要推动产业链条延伸,构建产业集群,加大科技创新力度,强化科学研究,培育新质生产力,提升产能。
摘要:中山市人均水资源仅占广东省人均水量的1/4,被列为广东省缺水城市之一。近年来,随着经济社会的发展,水资源配置问题愈发凸显,水资源短缺成为经济社会高质量发展的重要制约因素。重点分析中山市水资源开发利用现状,采样多种方法合理预测2035年城市需水量,在此基础上提出水资源管理对策,以实现水资源高效利用,为中山市高质量发展奠定强有力的水资源保障。
摘要:光催化-臭氧联合技术作为一种先进的废水处理技术,通过结合光催化和臭氧氧化,有效提高有机污染物的降解效率,并且能够在常温常压下进行,不产生二次污染。研究表明,光催化剂性能、臭氧投加量、废水特性和操作条件等因素对光催化-臭氧联合技术的效果有重要影响。尽管该技术在工程化应用中仍面临一些挑战,如反应器效率低和催化剂不稳定等,但其在去除难降解有机污染物方面的应用潜力巨大。
摘要:污水处理中,新污染物去除技术是当前环境科学研究的热点之一。新污染物主要包括新型有机污染物。这些污染物具有化学性质稳定、难以降解、生物毒性高等特点,采用传统污水处理工艺难以有效去除。在分析新污染物来源的基础上,对污水处理厂中的新污染物去除技术进行研究,希望能够为污水处理厂新污染物去除技术的研究和应用提供借鉴。
摘要:全氟化合物(Perfluorinated Compounds,PFCs)是一类人工合成的持久性有机污染物。其碳链上的氢原子全部被氟原子取代。由于C-F键的键能较大,全氟化合物在自然界中很难降解,并在生物体内出现富集现象。毒理学研究已经证实PFCs将会带来健康危害,如生殖和发育障碍、肝毒性、免疫毒性、神经毒性和潜在致癌性。目前,准确检测全氟化合物的方法为液相色谱-质谱(High PerformanceLiquid Chromatography-Mass Spectrometry,HPLC-MS)、气相色谱-质谱(Gas Chromatography-MassSpectrometry,GC-MS),但存在成本高、检测周期长、需要取样到实验室的缺点。因此,基于纳米探针、金属有机框架、共价有机框架或分子印迹聚合物,构建全氟化合物的检测平台,具有广阔的应用前景。对近年来全氟化合物传感识别检测研究进行综述,希望可以提供参考。
摘要:在我国风电行业快速发展的同时,风机叶片的退役数量逐年增长。因此,探索无害化、资源化回收利用方法成为退役风机叶片处置领域关注的焦点。纤维增强复合材料是退役风机叶片的主要组成部分。综述纤维增强复合材料的主流回收方法,分析各种回收方法的差异性和优缺点,并论述回收产物在不同领域的资源化利用,指出风机叶片回收利用中存在的挑战和机遇,为未来退役风机叶片的大规模处置提供参考。
摘要:随着新能源汽车市场规模的激增,废旧磷酸铁锂电池的数量将在未来几年显著上升。从资源利用和生态保护的角度来看,废旧磷酸铁锂电池的回收利用是必要和紧迫的。首先,强调预处理在废旧磷酸铁锂正极回收中的关键作用,讨论其面临的技术挑战。其次,概述当前废旧磷酸铁锂正极的回收方法,包括各自的处理工艺及优缺点。最后,探讨废旧磷酸铁锂正极回收的未来发展方向,强调技术创新在推动磷酸铁锂电池行业可持续发展中的重要性。
摘要:随着中国汽车保有量的急剧增长,报废汽车数量不断攀升,推动了全国报废汽车回收拆解行业的发展。该行业不仅有助于促进资源循环和绿色转型,也带来了危险废物(如铅、汞、镉、六价铬等)管理方面的严峻挑战。尽管我国已建立较为完善的法律法规和标准体系,着力规范行业全流程的污染防控和管理,但实际运行仍存在一些问题,如非法拆解问题突出、拆解项目环评标准及地方执行尺度不一、危险废物收集储存不规范和资金投入不足等。基于珠江三角洲典型企业的调研,总结行业管理经验,并针对现状提出多维政策建议。总体来说,要加大非法拆解行为惩治力度,健全污染控制与环评机制,提升收集储存管理水平,建立多元激励与资金支持机制。随着新能源汽车报废潮的临近,新的危废问题将对传统管理体系带来挑战。当前急需制定针对性的管理规范,以高水平的绿色治理保障我国汽车产业的持续健康发展。
摘要:基于计量管理理论,探讨环境监测数据质量控制的具体方法,提出系统的质量控制框架。首先,针对标准化采样与检测方法,提出采样方案设计、仪器选择及校准要求,并制定标准化操作程序;其次,介绍校准与溯源管理的重要性,详细讨论校准程序、溯源体系的建设和计量标准的选择与应用;最后,提出数据质量评估与反馈机制,通过指标体系、评估流程和持续改进机制,确保数据质量的不断提升。研究表明,基于计量管理的质量控制方法能够有效提升环境监测数据的准确性和可靠性,为环境决策提供更加可靠的依据。
摘要:深入探讨社会化环境检测机构在地表水采样过程中的质量管理问题。通过分析地表水采样质量管理的重要性、现状及影响因素,提出完善采样质量管理体系、加强人员培训与管理、提升采样设备与试剂管理水平、优化采样方案设计以及强化现场采样质量控制等改进措施。同时,结合实际案例对这些措施的应用效果进行验证,并对未来地表水采样质量管理的发展趋势进行展望。研究结果表明,加强社会化环境检测机构地表水采样质量管理对于提高监测数据的准确性、可靠性和科学性具有重要意义,能够为环境管理和决策提供有力支持。
摘要:农田土壤重金属污染是当前农业生产面临的严重威胁之一。为保障粮食安全、实现农业可持续发展,研究农田土壤中典型重金属的污染特性,并系统分析当前主流的监测技术,包括原子荧光光谱法、电感耦合等离子体发射光谱法、阳极溶出伏安法及X射线光电子能谱法。同时,概括了固化/稳定化、植物修复及电动力修复等污染修复技术,为我国农田土壤污染技术的应用提供一定参考。
摘要:为了探讨自然资源管理对生态环境恢复的作用,研究资源管理制度、生态修复技术、生态补偿机制及系统治理在生态恢复中的作用机制。分析认为,科学的资源管理能够有效促进生态系统修复,减少生态退化,提升生态恢复效率。结果表明,资源开发强度管控、补偿机制与技术协同作用可显著加速生态恢复。
摘要:山西省长期依赖煤炭产业及重化工业,导致大气污染问题尤为突出。通过实地监测、数据分析以及源解析,明确山西省大气污染成因,评估大气污染治理的现有技术与措施,并提出大气污染治理技术创新与优化策略。研究表明,山西省大气污染成因以产业结构因素、能源结构因素为主,大气污染呈现出明显的季节性、区域性差异,其中冬季污染较重。当前,山西省要大力推广清洁生产技术,优化能源结构,有序推进大气污染治理,助力生态环境修复,带动产业结构升级。
摘要:以河南省某铀矿地质勘探设施退役整治工程为例,依据现场实地的放射性监测,通过计算确定退役整治的覆盖层隔离厚度。基于治理前后的放射性监测数据,采用 γ 辐射剂量模型、氢气析出率模型和环境影响评估等方法,系统地对辐射污染进行量化分析,评估退役设施治理前后对周围环境和居民的辐射暴露影响,旨在为铀矿的退役整治提供理论和实践指导。
摘要:基于2022—2024年崇阳县环境质量监测数据,对陆水河崇阳段水质变化特征及其影响因素进行系统分析。研究发现,陆水河崇阳段水质整体维持在Ⅲ类水平。各主要监测断面中,106大桥(上游入城断面)、浮溪桥(出城断面)、洪下水文站(下游出境断面)等断面水质状况良好。2022—2024年,氨氮含量整体呈下降趋势,溶解氧含量基本稳定,表明水质正逐步改善。影响水质的主要因素包括工业污染、生活污水以及水文条件变化,其中工业污水处理设施落后、城乡生活污水收集率低是影响水质的关键因素。
摘要:围绕河湖流域污染源的识别与治理展开研究,详细分析河湖流域污染的主要来源及其空间分布特征,探讨各类污染源对水体质量的影响,并提出识别污染源的方法。最后,分析河湖流域污染源的综合治理策略,包括采用水文-水动力-水质模型、加强源头控制与污染物减排、修复河湖生态系统、建设活水循环系统,旨在为治理流域水环境提供科学指导和理论支持。
摘要:基于实际案例,结合温度和湿度控制效果,对项目改造前后总挥发性有机物(TotalVolatile OrganicCompounds,TVOC)质量浓度变化进行监测与分析,研究室内环境中TVOC的释放与迁移特性。结果发现,高温高湿环境下,TVOC的释放速率显著增加,迁移也更加迅速。研究表明,精确控制室内温度和湿度是提升室内空气质量、调节TVOC释放的有效途径,可为该领域的技术改进和社会生活健康指引提供依据。
摘要:为改善边坡的生态环境,以我国西南地区某石漠化区域内的典型公路边坡为例,分析其采用的高生态效益保护方法。实施后成效显著,植被覆盖率从不足 30% 提升到 80% 以上,坡面稳定性大幅提高,位移速率显著降低,土壤质量明显改善,生态系统功能得以提升,有效控制了水土流失,增强了碳固定能力,为石漠化地区道路边坡防护提供了实践参考和技术支撑。
摘要:为了提升生态环境保护下地下水取样的准确性和代表性,采用设备改进、工艺优化和环保措施相结合的方法,对传统取样技术进行系统优化,并通过试验验证与数据分析评估其有效性。结果表明,优化后的技术显著提高了数据稳定性、空间代表性和检测精度,并减少了对环境的影响,可为地下水质量监测提供可靠的技术支撑。
摘要:分析了海洋环境监测方案对海岛生态保护的影响,指出监测在评估生态系统健康、监测污染、预防生态灾害及保护生物多样性方面的重要性。以甲午岩岛为例,展示了物理、化学、生物监测技术及遥感与地理信息系统(Geographic Information System,GIS)应用对生态环境的改善效果,证实了科学监测对海岛生态保护的显著效果,为保护政策制定提供了科学依据。
摘要:随着我国环境保护需求的日益增长,各地采取一系列具体措施来落实环保政策。在污染源监测中,现场监测技术是经国家认可的传统监测技术,配套严格的质量控制措施,以保证其数据的准确性。如今,现场监测技术与在线监测技术相辅相成,未来可通过大数据、人工智能融合成靳新的污染源监测技术,服务我国生态环境污染源监测事业。
摘要:基于Landsat和Sentinel-2多光谱遥感数据,结合无人机高分辨率遥感影像,动态监测广东省2020一2024年生态环境质量,并构建了包含植被覆盖度、生物多样性指数、水体质量和土地利用变化的生态环境评价指标体系。研究表明,该区域生态环境质量呈现显著的时空分异特征,其中城市化地区生物多样性水平下降明显,但生态修复区环境质量持续改善。动态监测结果显示,区域生态环境变化与5年来的城市扩张、产业布局调整和环境治理措施密切相关。
摘要:生活垃圾楚烧飞灰的高效处置和资源化利用是我国“无废城市”建设的关键环节。对比分析不同的生活垃圾楚烧飞灰处置技术和利用途径,从技术原理、工艺难度、处理效果、经济成本等多个角度进行研究,分析各类处置技术的优缺点及应用现状。该研究可为提高飞灰处理的效率和水平,实现飞灰的无害化处置和资源化利用提供借鉴。
摘要:红树林生态系统的服务功能与气候变化息息相关。全球气候变化已对红树林生态系统构成显著威胁。阐述红树林对气候变化的响应机制,包括全球变暖、海平面上升和降水变化等方面对红树林生态系统产生的潜在影响,同时深入分析当前的生态修复策略及其成效与不足,提出了未来基于气候变化适应的红树林生态修复的优化方向,旨在为保护和恢复红树林生态系统提供科学依据,以应对全球气候变化带来的挑战。
摘要:土地资源的开发利用对生态环境造成了深远影响,包含生态系统结构扰动、水土流失、土壤退化及水资源消耗等。围绕土地开发利用中的生态保护策略,分析土地利用变化对生态环境的主要影响,研究生态红线管控、土地整治与生态修复、低影响开发模式等关键生态保护技术路径,提出优化土地用途管控、构建绿色基础设施及探索环境友好型开发模式的策略。借助案例分析生态文明示范区及绿色土地利用模式的实践效果,评估生态保护策略的实施成效。研究表明,强化生态红线管理与创新土地修复技术对于提高土地开发的生态保护水平至关重要。
摘要:为了优化低碳视角下的生态资源环保利用模式,推动可持续发展,分析当前资源利用过程中存在的主要问题。分析认为,优化生态环保资源利用模式能有效减少温室气体排放、促进资源循环利用和推动社会稳定发展。基于此,建议通过优化能源结构、推动技术创新、完善政策机制以及加强社会意识教育等措施,全面提升资源利用效率,推动低碳社会建设。
摘要:随着工业化、城市化进程的加速,土壤环境污染问题日益严峻,成为制约可持续发展的重要因素。污染的土壤会破坏生态平衡,减少生物多样性,影响地下水水质,对生态环境造成深远影响。结合土壤质量的概念,分析土壤污染的主要来源,包括工业活动排放、农业化学品滥用等。针对这些因素,提出综合性的土壤环境保护与污染治理策略,旨在促进土壤资源的可持续利用和生态环境的良性循环。
摘要:选取城市区域环境空气评价指标,详细分析2024年1—12月酒泉市6种空气污染物 PM2.5 , PM10. NO2 , SO2 、CO、 O3 的浓度变化及特征。结果显示,酒泉市环境空气质量整体呈现向好发展态势,空气优良率平均为 84.65% ,较2023提高了8.11个百分点。受地形地势、气候气象等因素影响,酒泉市春季、夏季环境空气质量综合指数等级均为二级,空气质量优良天数多,全市空气质量良好。
摘要:在全球气候变化与生态环境恶化的双重挑战下,新能源技术已成为实现可持续发展的重要驱动力。围绕新能源技术对生态环境的修复与优化作用,探讨太阳能、风能、生物质能与地热能在生态治理中的应用,并提出以技术研发、政策规范、公众参与及环境监测为核心的优化策略,旨在为新能源技术的高效利用与生态环境保护协同发展提供理论支撑,助力双碳目标下绿色低碳转型的实现。
摘要:随着我国工业化进程的加快,污染物排放量不断增加,环境污染问题日益严重,对人类健康构成威胁。基于此,概述了环境监测内容,深入分析了环境监测对环境治理的促进作用,并提出了加强技术人员培训、完善技术体系、提高数据精度、推动智能发展等基于环境监测的环境治理策略,旨在为环境治理的科学决策提供有益的参考。
摘要:森林生物多样性是生态系统稳定性和持续性的重要保障,而传统生态知识是人与自然环境长期互动的产物,在生物多样性保护中发挥着重要作用。云龙县将传统生态保护知识应用于森林生物多样性保护中,同时对其进行优化。结合云龙县森林生物多样性现状,分析其面临的主要威胁及其丧失的后果。同时,结合云龙县传统农业、林业经营和野生动植物资源的利用情况,探讨当地传统生态知识在保护生物多样性方面所起的积极作用,从传承本土知识、融合科技和创新生态旅游等方面提出优化策略。
摘要:矿山土地复垦是土地复垦的重要内容,是国土空间生态修复的重要组成部分,因此新时期开展高质量矿山土地复垦工作十分重要。基于生态修复理念,围绕矿山土地复垦的现实意义,探究并总结矿山土地复垦技术与运用路径,旨在切实推进矿山土地复垦工作高效开展,降低生态破坏和环境污染,实现对生态环境的有效保护。
摘要:居住区厨余垃圾就地处理技术主要可以分为3种,即高温好氧发酵型、干燥型和消灭型。通过基础性能数据分析、经济性分析、环保性分析和测试结果对比,综合评价3类典型居住区厨余垃圾就地处理技术,提出各类技术的具体应用建议,旨在为居住区厨余垃圾就地处理技术的选择和优化提供参考。其中,高温好氧发酵型技术需要注重前端垃圾分类和后端处理的完善,干燥型技术应关注能效优化和热能回收,消灭型技术需要优化发酵过程控制和废水处理。
摘要:梳理整治总则标准中规范整治类入河排污口问题情形和整治技术要求,分析其在应用层面上存在的问题,结合陆水入河排污口“一口一策”整治方案编制实践,提出符合当地实际的陆水规范整治类入河排污口的问题情形和整治技术要求,为各地编制入河排污口“一口一策”整治方案提供思路和参考。
摘要:“十四五”以来,我国河流水环境质量持续改善,但仍存在水生态系统失衡、生物多样性下降等突出问题。河流生态缓冲带作为水生态保护修复的有效技术手段,具有阻隔或减缓人类活动干扰、有效拦截面源污染、提升水体自净能力和生态系统完整性的作用。以太湖流域无锡市的河流生态缓冲带修复工程为例,介绍河流生态缓冲带保护修复技术要点,为国内河流水生态保护修复提供思路。
摘要:为研究聊城市莘县某联苯氨苄项目地下水环境污染状况,通过开展资料收集、水文地质调查、野外水文地质试验、水样采集与测试等工作,获取研究区的水文地质条件、水文地质参数及地下水水质情况。利用地下水模拟系统(Groundwater Modeling System,GMS)软件平台,构建地下水污染模型。以 Zn2+ 和氯苯为预测因子,设定未建立防渗状况下污水处理站瞬时泄漏后的情景,模拟污染物在地下水中的运移规律和污染程度,预测在一定时间序列内它的影响范围和迁移趋势。结果表明, Zn2+ 和氯苯在浅层地下水水动力作用下主要向西南方向运移,与地下水流向基本一致; Zn2+ 质量浓度在20年内降低至标准值,而20年后氯苯质量浓度仍高于标准值。
摘要:我国大气沉降型危废治理企业对环境的危害多表现在土壤重金属的积累。为研究豫东地区该类企业对周边土壤环境的影响,以豫东某典型危废治理企业为例,选取As、Cd、Cr、Cu、Pb、 ?Hg 、 ΔNi 、 Zn 等重金属元素,采用内梅罗综合指数法、地累积指数法及潜在生态危害指数法,开展周边土壤监测及风险评价。结果显示,企业周边土壤重金属积累明显,地累积污染贡献排序为 Cd>Hg>Cu>Cr>Zn>Pb>As> Ni,Cd、 ?Hg 达到强生态危害程度。研究表明,豫东地区的大气沉降型危废治理企业周边土壤监测及污染防治,应重点关注相邻区域土壤环境,并针对发现的高污染贡献重金属,积极开展企业土壤污染隐患排查、土壤自行监测等工作。
摘要:使用在线气相色谱连续监测系统,于2023年8月4日至8月19日在重庆市涪陵区对56种挥发性有机物(Volatile Organic Compounds,VOCs)进行在线监测。结果显示,监测期间涪陵区VOCs平均检出质量浓度为 13.209×10-9 。VOCs的臭氧生成潜势(OzoneFormationPotential,OFP)由最大增量反应活性(Maximum Incremental Reactivity,MIR)估算得到。二次有机气溶胶(Secondary Organic Aerosol,SOA)生成潜势平均估算值为 20.638μg/m3 。利用正定矩阵因子分解(PositiveMatrix Factorization,PMF)模型来源解析出4个因子,分别为石油化工源、汽车尾气源、生物源和燃料挥发源,其中石油化工源、汽车尾气源贡献较大。因此,需要重点关注道路交通、船舶油品、加油站等与石化燃料相关活动的管控。
摘要:城市生活垃圾转运站是垃圾处理处置的重要基础设施。其产生的粉尘和臭气等环境污染问题已受到人们的重点关注。主要阐述生活垃圾转运站恶臭气体的产生来源、危害以及常见处理技术,同时以中山市主城区生活垃圾转运站为例,对采用的除臭技术及工艺流程进行解析,以期为生活垃圾转运站恶臭气体治理提供理论基础和实践参考。
摘要:面对乡村振兴与经济发展的双重挑战,乌江流域急需破解生态保护与水资源协同难题。针对生态退化、水资源短缺及污染问题,提出四维协同路径。政策上建立跨区域联防联控与生态补偿机制;技术层面构建智能监测网络,推广节水与治污技术;经济上发展生态产业,完善绿色金融与水价体系;社会层面推动公众参与、社区共治与企业履责。未来需强化科技支撑与数字化管理,优化水资源配置,为流域可持续发展提供决策参考。
摘要:加强生态环境保护是城市可持续发展的客观要求,可以提升居民生活质量。在探讨城市生态环境保护必要性的基础上,阐述生态环境保护对城市可持续发展的积极作用,并列举城市发展过程的常见环境问题,然后提出相应的生态环境保护措施。要借助宣传活动,加强对水污染问题的重视;建设生态宜居城市,严格控制噪声污染;强化生态保护,以防治大气污染;推进法律法规建设,加大监管力度,以实现城市可持续发展。
摘要:分析当前水环境监测质量控制的关键影响因素,提出系统性控制要点。分析认为,要从监测点位布局、人员专业能力、设备运维管理及数据处理技术等维度构建全流程质量控制体系,重点结合数字化技术应用,优化监测效能。强化质量控制措施,可为水环境保护与治理提供可靠技术支撑,推动监测工作朝标准化、精细化方向发展。
摘要:城市化进程显著影响全球碳循环,准确评估城市碳排放量是制定低碳政策的关键。以广西壮族自治区百色市为研究区,应用Urban-RAM模型,评估其居民活动相关的能源消耗和碳排放量。利用百色市历年发布的统计年鉴数据、居民支出调查及交通数据,估算2023年的总碳排放量,并分解其主要来源。结果显示,百色市2023年二氧化碳排放量为2291.74万t,其中城市运行碳排放量达到1307.13万t,隐含碳排放量达到984.61万t,人均二氧化碳排放量达到 6.53t ,家庭碳排放量达到 20.05t 住宅碳排放是百色市碳排放的主要驱动因素。研究成果为百色市低碳城市规划提供数据支持,并验证Urban-RAM模型在中小型发展中城市中的适用性。
摘要:为了提升蒸发结晶系统在高盐废水资源化利用中的能效,基于绿色低碳理念,分析结垢对系统性能的影响,构建数字孪生优化模型,并验证能效提升效果。结果表明,优化策略能够降低结垢速率,提高换热效率和结晶纯度。
摘要:为了更好地实现垃圾楚烧发电厂的烟气净化,综述干法脱硫技术、湿法脱硫技术的最新研究进展。干法脱硫技术凭其高效、低成本的优势,取得了一定成效。湿法脱硫技术具有较强的脱硫能力和适应性,可应用于不同类型的楚烧设备。集成式烟气净化技术可以提高整体效率,有效降低污染物排放,提升系统的经济性和稳定性。随着环保要求的提高,垃圾楚烧发电厂烟气净化技术的创新和完善也会对环境保护和资源回收利用产生深远影响。
摘要:电力行业作为碳排放大户,是能源低碳转型的重要领域。从电力系统低碳保供的角度,系统梳理禾分析新型电力系统发展现状,并提出未来发展路径和行动方案,为实现双碳目标及推动电力系统的发展提供参考。
摘要:作为典型的高能耗、高排放工业,水泥行业面临巨大的节能减排压力。烧成系统是水泥生产中能耗最高的设备,占整个水泥生产过程至少 60% 的能耗。针对水泥烧成系统存在的问题,分析系统阻力的主要来源,并提出全面的技术改造方案。以某水泥厂为例,采取设备升级、管道布局优化、风机系统改进和工艺参数调整等措施后,水泥烧成系统在改造后取得了显著的节能效果。研究结果表明,改造后单位电耗降低 8% ,单位煤耗减少 7.1% ,系统热效率提高至 74% ,年度生产总成本节约约225万元。本项目的成功实施证明,减小烧成系统阻力和提高系统热效率是降低水泥生产成本、提高能效的有效途径,可为行业内其他企业提供参考。
摘要:部分城镇污水处理厂运行过程中,能耗高,碳排放量大,与关联工业企业缺乏协同减排机制。针对污水处理厂及上游企业的实际情况,采取废水源头预处理优化、设备节能改造及能源系统升级等措施。工业预处理采用多种工艺,提升水质稳定性;设备改造采用高效鼓风机与智能加药系统,降低系统运行能耗;能源升级引入光伏发电与污泥厌氧消化工艺,构建系统资源化利用链。通过污水处理厂与关联工业的碳-污染物协同管理体系建设,形成了完整的减排路径。
摘要:以山东省临沂市某热电联产企业为例,分析2022—2024年的电力、热力收入及煤炭消耗数据,基于碳生产模型评估其碳排放权价值。结果显示,碳排放权实际价格约为150元/t,受煤炭价格影响显著。当前碳排放权价格低于企业实际价值,预计未来将逐年上涨。研究结果有助于完善全国碳市场定价机制,助力碳达峰碳中和。建议在年度碳履约中联动煤炭市场价格,逐步使碳排放权价格趋近实际价值。
摘要:热解炭化技术可以实现有机质垃圾的减量化、无害化和资源化利用,是妥善解决有机固体废物环境污染的有效途径之一。针对热解炭化过程产生的烟气、氮气罐不安全因素和热能损耗等问题,设计基于降温减排的有机质固体废物热解炭化处理装置。氮气发生装置通过分离得到高纯度的氮气,进入热解炭化管式炉,使有机质固体废物在炉内发生裂解氧化反应,得到生物炭;排出的部分烟气通过回流装置重新回到炉内,进一步热解,从而充分热解和降低热能耗;分解后的烟气进入冷凝器冷凝后,通过焦油收集装置和气体收集装置收集得到焦油和燃料气;剩余烟气经烟气检测后,达标排放。该装置实用性强,运行维护简单,可以降温减排,为我国实现碳达峰、碳中和提供了一种新方法和新设备。
摘要:以某垃圾中转站废水处理为研究对象,介绍处理工艺、设计参数及运行效果。废水处理量为 100m3/d 其化学需氧量(Chemical Oxygen Demand,COD)高,总氮(Total Nitrogen,TN)浓度高,含重金属和动植物油脂等杂质。采用“预处理 + 升流式厌氧污泥床(UpflowAnaerobicSludgeBed,UASB) + 两级厌氧好氧(Anaerobic Oxic,AO) + 膜生物反应器(MembraneBio-Reactor,MBR)”的处理工艺,出水符合《污水排入城镇下水道水质标准》(GB/T31962—2015)的一级B标准,吨水费用为33.671元。该工艺具有较好的技术经济性。
摘要:化工行业高含盐废水具有成分复杂、毒性强、难降解等特点,直接排放会造成严重的环境污染和生态破坏。传统处理技术存在效率低、成本高、二次污染等问题。基于此,通过系统分析膜分离、蒸发结晶、电渗析和离子交换等零排放技术,构建“预处理-浓缩分离-结晶固化”工艺流程,并通过技术集成与工艺优化,实现高含盐废水的资源化零排放,为化工行业可持续发展提供理论支持。
摘要:随着我国水资源的紧张和环境保护要求的提升,火电厂作为用水和排水大户,面临的水资源问题和环境问题日益突出。废水处理及综合利用是非常重要的一环,综合利用废水,实现废水资源化,不仅可以节约用水和运行成本,更能减少外排水对受纳环境的影响,具有显著的社会效益与经济效益。结合火电厂产生的废水类型,提出清污分开和梯级利用的思路,设计废水资源化方案,以推进火电厂废水分级治理与回收利用。
摘要:乙二醇联产碳酸二甲酯过程中产生的高盐废水含有复杂的有机物和无机盐,对环境和生态系统构成严重威胁。近年来,一系列高效处理技术相继涌现,旨在降低废水中盐分与有机物含量,实现达标排放或资源化利用。因此,有必要对高盐废水处理技术进行研究,以提高资源利用率,降低污染排放。
摘要:随着工业化和城市化进程加快,废水处理面临污染物动态变化复杂与资源浪费的双重挑战。系统综述基于光学传感、电化学分析和人工智能的污染物实时监测技术,回顾吸附分离、电化学回收与生物转化等资源回收方法的最新进展,提出通过物联网技术实现监测与回收系统的闭环联动,并基于某工业园区实际案例验证技术可行性。试验结果表明,集成系统对重金属( Cu2+ 1 Pb2+ )的监测灵敏度达 0.1μg/L ,磷回收率提升至 92% ,处理成本降低 35% 。本研究为废水处理从“末端治理”向“过程控制-资源再生”模式转型提供了理论支撑。
摘要:某两新产业园区污水处理厂进水含难降解化工污染物,而利用现有工艺无法稳定实现出水达标排放。通过中间试验对比芬顿氧化工艺与复合臭氧催化氧化工艺的技术经济性,提出优化方案。结果表明,芬顿氧化工艺的化学需氧量(ChemicalOxygenDemand,COD)去除率为 46%~71% ,运行成本为1.83元/吨废水,综合投资成本为2108万元;复合臭氧催化氧化工艺的COD去除率为 56%~71% ,运行成本为1.20元/吨废水,综合投资成本为1882万元。复合臭氧催化氧化工艺的COD去除效果优于芬顿氧化工艺,运行成本和综合投资成本更低,无污泥二次污染。建议采用复合臭氧催化氧化工艺作为深度处理改造方案,为同类化工园区污水处理提供参考。